Product Overview
GC Horizontal Multistage Boiler Feed Pump is a high-efficiency, horizontal multistage centrifugal pump designed for continuous operation in boiler feedwater and makeup water systems.
It addresses the challenge of maintaining consistent pressure and flow rates in high-pressure, high-temperature conditions, ensuring uninterrupted boiler operation.
It is used in power plants, industrial boiler systems, chemical processing, and municipal water supply networks.
Model Designation

Applications
Typical Operating Scenarios
• Boiler feedwater systems in power plants
• Makeup water supply for industrial boilers
• High-pressure, high-flow chemical processing systems
• Water supply and pressure boosting in municipal infrastructure
• Cooling water systems for power generation
Engineering Advantages
Structural Design Logic & Engineering Outcome
• Horizontal multistage design provides high head and stable flow for efficient water transfer.
• Modular structure for easy maintenance and part replacement without dismantling entire system.
• The robust casing and corrosion-resistant materials extend the service life of the pump in harsh boiler environments.
• The pump’s dual-suction inlet design minimizes cavitation risks and enhances operational efficiency.
System Components
GC Horizontal Multistage Boiler Feed Pump :
• Multistage pump casing and stage components
• Impellers and diffusers for high-efficiency energy transfer
• Mechanical seal and bearing assembly
• Horizontal shaft and coupling system
• Discharge nozzle and inlet connections
Technical Specifications
Service Conditions
Suitable for clean water or liquids with similar properties.
Not suitable for slurry or highly viscous fluids unless customized.
Operating Conditions
Flow Rate: 6 – 55 m³/h
Head: 46 – 576 m
Power Range: 3 – 100 kW
Speed: 2920 – 2950 rpm
Liquid Temperature: ≤ 120°C
Working Pressure: ≤ 2.5 MPa
*Based on current available models shown in performance table • GC horizontal multistage boiler feed pump • Head = single stage head × stage count • Higher flow configurations available on request
Detailed parameter tables are provided below.
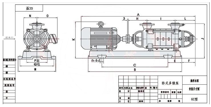
Installation & Dimensions
Outline Drawing

Performance Data
| 1 | Shaft Sleeve Nut | 2 | Bearing Cover | 3 | Bearing | 4 | Front Bearing Housing | 5 | Shaft Sleeve (A) | 6 | Packing Gland | 7 | Lantern Ring |
| 8 | Wear Ring | 9 | Suction Casing | 10 | Impeller | 11 | Middle Casing | 12 | Return Pipe | 13 | Discharge Casing | 14 | Balance Ring |
| 15 | Balance Disc | 16 | Tail Cover | 17 | Shaft Sleeve (B) | 18 | Shaft | 19 | Round Nut | 20 | Tension Bolt |
Performance Parameters
| Model | Stages | Flow Rate Q | Total Head H | Speed n | Power N (kW) | Efficiency η | NPSH | Impeller Diameter | Weight | ||
| m3/h | L/S | m | r/min | Shaft Power | Motor Power (kW) | % | m | mm | Kg | ||
| 11/2GC-5 | 2 | 6 | 1.66 | 46 | 2950 | 2 | 3 | 38 | 3.7 | 136 | 135 |
| 11/2GC-5 | 3 | 6 | 1.66 | 69 | 2920 | 3 | 4 | 38 | 3.7 | 136 | 147 |
| 11/2GC-5 | 4 | 6 | 1.66 | 92 | 2920 | 4 | 5.5 | 38 | 3.7 | 136 | 174 |
| 11/2GC-5 | 5 | 6 | 1.66 | 115 | 2920 | 5 | 7.5 | 38 | 3.7 | 136 | 204 |
| 11/2GC-5 | 6 | 6 | 1.66 | 138 | 2920 | 6 | 7.5 | 38 | 3.7 | 136 | 212 |
| 11/2GC-5 | 7 | 6 | 1.66 | 161 | 2920 | 7 | 7.5 | 38 | 3.7 | 136 | 220 |
| 11/2GC-5 | 8 | 6 | 1.66 | 184 | 2920 | 8 | 11 | 38 | 3.7 | 136 | 271 |
| 11/2GC-5 | 9 | 6 | 1.66 | 207 | 2920 | 9 | 15 | 38 | 3.7 | 136 | 292 |
| Model | Stages | Flow Rate Q | Total Head H | Speed n | Power N (kW) | Efficiency η | NPSH | Impeller Diameter | Weight | ||
| m3/h | L/S | m | r/min | Shaft Power | Motor Power (kW) | % | m | mm | Kg | ||
| 2GC-5 | 2 | 10 | 2.8 | 64 | 2950 | 4.4 | 7.5 | 39.6 | 4.7 | 166 | 258 |
| 2GC-5 | 3 | 10 | 2.8 | 96 | 2950 | 6.6 | 11 | 39.6 | 4.7 | 166 | 309 |
| 2GC-5 | 4 | 10 | 2.8 | 128 | 2950 | 8.8 | 15 | 39.6 | 4.7 | 166 | 389 |
| 2GC-5 | 5 | 10 | 2.8 | 160 | 2950 | 11.0 | 15 | 39.6 | 4.7 | 166 | 414 |
| 2GC-5 | 6 | 10 | 2.8 | 192 | 2950 | 13.2 | 18.5 | 39.6 | 4.7 | 166 | 512 |
| 2GC-5 | 7 | 10 | 2.8 | 224 | 2950 | 15.4 | 22.0 | 39.6 | 4.7 | 166 | 531 |
| 2GC-5 | 8 | 10 | 2.8 | 256 | 2950 | 17.6 | 30.0 | 39.6 | 4.7 | 166 | 589 |
| 2GC-5 | 9 | 10 | 2.8 | 288 | 2950 | 19.8 | 30.0 | 39.6 | 4.7 | 166 | 609 |
| Model | Stages | Flow Rate Q | Total Head H | Speed n | Power N (kW) | Efficiency η | NPSH | Impeller Diameter | Weight | ||
| m3/h | L/S | m | r/min | Shaft Power | Motor Power (kW) | % | m | mm | Kg | ||
| 21/2GC-3.5 | 7 |
10
15 20 |
2.8
4.2 5.6 |
336
315 280 |
2950 |
26
28.6 32.5 |
37 |
35
45 47 |
3.3
3.8 4 |
198 | 967 |
| 21/2GC-3.5 | 8 |
10
15 20 |
2.8
4.2 5.6 |
384
360 320 |
2950 |
30
32.8 37 |
45 |
35
45 47 |
3.3
3.8 4 |
198 | 1065 |
| 21/2GC-3.5 | 9 |
10
15 20 |
2.8
4.2 5.6 |
432
405 360 |
2950 |
33.7
37 42 |
55 |
35
45 47 |
3.3
3.8 4 |
198 | 1097 |
| 21/2GC-3.5 | 10 |
10
15 20 |
2.8
4.2 5.6 |
480
450 400 |
2950 |
37.5
41 46.5 |
55 |
35
45 47 |
3.3
3.8 4 |
198 | 1179 |
| 21/2GC-3.5 | 11 |
10
15 20 |
2.8
4.2 5.6 |
528
495 440 |
2950 |
41.5
45 51 |
75 |
35
45 47 |
3.3
3.8 4 |
198 | 1252 |
| 21/2GC-3.5 | 12 |
10
15 20 |
2.8
4.2 5.6 |
576
540 480 |
2950 |
45
49 56 |
75 |
35
45 47 |
3.3
3.8 4 |
198 | 1324 |
| Model | Stages | Flow Rate Q | Total Head H | Speed n | Power N (kW) | Efficiency η | NPSH | Impeller Diameter | Weight | ||
| m3/h | L/S | m | r/min | Shaft Power | Motor Power (kW) | % | m | mm | Kg | ||
| 21/2GC-6 | 2 |
15
20 |
4.2
5.6 |
62
54 |
2950 |
5.8
6.2 |
7.5 |
43.7
47.4 |
5
5.3 |
168 | 258 |
| 21/2GC-6 | 3 |
15
20 |
4.2
5.6 |
93
81 |
2950 |
8.7
9.3 |
15 |
43.7
47.4 |
5
5.3 |
168 | 309 |
| 21/2GC-6 | 4 |
15
20 |
4.2
5.6 |
124
108 |
2950 |
11.6
12.4 |
18.5 |
43.7
47.4 |
5
5.3 |
168 | 389 |
| 21/2GC-6 | 5 |
15
20 |
4.2
5.6 |
155
135 |
2950 |
14.5
15.5 |
22.0 |
43.7
47.4 |
5
5.3 |
168 | 494 |
| 21/2GC-6 | 6 |
15
20 |
4.2
5.6 |
186
162 |
2950 |
17.4
18.6 |
22.0 |
43.7
47.4 |
5
5.3 |
168 | 512 |
| 21/2GC-6 | 7 |
15
20 |
4.2
5.6 |
217
189 |
2950 |
20.2
21.7 |
30.0 |
43.7
47.4 |
5
5.3 |
168 | 563 |
| 21/2GC-6 | 8 |
15
20 |
4.2
5.6 |
248
216 |
2950 |
23.2
24.8 |
30.0 |
43.7
47.4 |
5
5.3 |
168 | 589 |
| 21/2GC-6 | 9 |
15
20 |
4.2
5.6 |
279
243 |
2950 |
26.1
27.9 |
37.0 |
43.7
47.4 |
5
5.3 |
168 | 785 |
| Model | Stages | Flow Rate Q | Total Head H | Speed n | Power N (kW) | Efficiency η | NPSH | Impeller Diameter | Weight | ||
| m3/h | L/S | m | r/min | Shaft Power | Motor Power (kW) | % | m | mm | Kg | ||
| 4GC-8 | 2 |
30
45 55 |
8.3
12.5 15.3 |
86
82 79 |
2950 |
13.8
16.8 18.1 |
22 |
51
60 62.5 |
4.6
5 5.6 |
192 | 503 |
| 4GC-8 | 3 |
30
45 55 |
8.3
12.5 15.3 |
129
123 114 |
2950 |
20.7
25.2 27.2 |
30 |
51
60 62.5 |
4.6
5 5.6 |
192 | 612 |
| 4GC-8 | 4 |
30
45 55 |
8.3
12.5 15.3 |
172
164 152 |
2950 |
27.6
33.6 35.2 |
45 |
51
60 62.5 |
4.6
5 5.6 |
192 | 835 |
| 4GC-8 | 5 |
30
45 55 |
8.3
12.5 15.3 |
215
205 190 |
2950 |
34.5
42 45.3 |
55 |
51
60 62.5 |
4.6
5 5.6 |
192 | 950 |
| 4GC-8 | 6 |
30
45 55 |
8.3
12.5 15.3 |
258
246 228 |
2950 |
41.4
50.4 54.4 |
55 |
51
60 62.5 |
4.6
5 5.6 |
192 | 1085 |
| 4GC-8 | 7 |
30
45 55 |
8.3
12.5 15.3 |
301
287 266 |
2950 |
48.3
58.8 63.4 |
75 |
51
60 62.5 |
4.6
5 5.6 |
192 | 1087 |
| 4GC-8 | 8 |
30
45 55 |
8.3
12.5 15.3 |
344
328 304 |
2950 |
55
67 73 |
75 |
51
60 62.5 |
4.6
5 5.6 |
192 | |
| 4GC-8 | 9 |
30
45 55 |
8.3
12.5 15.3 |
387
369 342 |
2950 |
62
75.5 82 |
90 |
51
60 62.5 |
4.6
5 5.6 |
192 | |
| 4GC-8 | 10 |
30
45 55 |
8.3
12.5 15.3 |
430
410 380 |
2950 |
69
84 91 |
100 |
51
60 62.5 |
4.6
5 5.6 |
192 | |
Installation Diagram

Performance Data(2)
| Model | Number of Stages | A | B | C | E | H | I | J | K | L | M | N | O | P | Q | F | n-φd |
| 11/2GC-5 | 2 | 963 | 750 | 510 | 128 | 248 | 122.5 | 355 | 350 | 205 | 365 | 105 | 180 | 315 | 315 | 154 | 4-φ20 |
| 11/2GC-5 | 3 | 1033 | 805 | 535 | 125 | 248 | 172.5 | 355 | 358 | 205 | 405 | 115 | 190 | 355 | 355 | 154 | 4-φ20 |
| 11/2GC-5 | 4 | 1158 | 1010 | 715 | 135 | 248 | 222.5 | 360 | 393 | 205 | 415 | 135 | 210 | 365 | 365 | 47 | 4-φ20 |
| 11/2GC-5 | 5 | 1208 | 1010 | 715 | 135 | 248 | 272.5 | 360 | 393 | 205 | 415 | 135 | 210 | 365 | 365 | 97 | 4-φ20 |
| 11/2GC-5 | 6 | 1258 | 1010 | 715 | 135 | 248 | 322.5 | 360 | 393 | 205 | 415 | 135 | 210 | 365 | 365 | 147 | 4-φ20 |
| 11/2GC-5 | 7 |
1308
1433 |
1060
1180 |
715
760 |
135
170 |
248 | 372.5 | 360 |
393
495 |
205 |
415
470 |
135
163 |
210
255 |
365 |
365
240 |
147
100 |
4-φ20 |
| 11/2GC-5 | 8 | 1484 | 1280 | 785 | 170 | 248 | 422.5 | 395 | 470 | 205 | 470 | 165 | 255 | 365 | 420 | 95 | 4-φ20 |
| 11/2GC-5 | 9 | 1533 | 1280 | 785 | 170 | 248 | 472.5 | 395 | 470 | 205 | 470 | 165 | 255 | 365 | 420 | 145 | 4-φ20 |
| Model | Number of Stages | A | B | C | E | H | I | J | K | L | M | N | O | P | Q | F | n-φd |
| 2GC-5 | 2 | 1227 | 915 | 650 | 135 | 325 | 160 | 480 | 443 | 255 | 490 | 135 | 210 | 430 | 430 | 211 | 4-φ24 |
| 2GC-5 | 3 | 1412 | 1160 | 790 | 165 | 325 | 220 | 485 | 490 | 255 | 480 | 165 | 255 | 430 | 430 | 141 | 4-φ24 |
| 2GC-5 | 4 | 1412 | 1160 | 790 | 165 | 325 | 280 | 485 | 490 | 255 | 480 | 165 | 255 | 430 | 430 | 201 | 4-φ24 |
| 2GC-5 | 5 | 1532 | 1220 | 820 | 165 | 325 | 340 | 485 | 490 | 255 | 480 | 165 | 255 | 430 | 430 | 201 | 4-φ24 |
| 2GC-5 | 6 | 1637 | 1320 | 860 | 185 | 325 | 400 | 485 | 490 | 255 | 480 | 165 | 255 | 430 | 430 | 203 | 4-φ24 |
| 2GC-5 | 7 | 1722 | 1380 | 900 | 200 | 325 | 460 | 480 | 510 | 255 | 515 | 180 | 285 | 455 | 455 | 209 | 4-φ24 |
| 2GC-5 | 8 | 1887 | 1575 | 1000 | 240 | 325 | 520 | 525 | 580 | 255 | 585 | 200 | 310 | 440 | 525 | 150 | 4-φ24 |
| 2GC-5 | 9 | 1947 | 1575 | 1000 | 240 | 325 | 580 | 525 | 580 | 255 | 585 | 200 | 310 | 440 | 525 | 210 | 4-φ24 |
| Model | Number of Stages | A | B | C | E | H | I | J | K | L | M | N | O | P | Q | F | n-φd |
| 21/2GC-3.5 | 7 | 1937 | 1590 | 1030 | 225 | 385 | 470 | 608 | 598 | 295 | 600 | 200 | 310 | 540 | 540 | 195 | 4-φ24 |
| 21/2GC-3.5 | 8 | 1937 | 1675 | 1085 | 225 | 385 | 530 | 618 | 638 | 295 | 600 | 225 | 345 | 540 | 540 | 194 | 4-φ24 |
| 21/2GC-3.5 | 9 | 2212 | 1835 | 1170 | 265 | 385 | 590 | 643 | 683 | 295 | 600 | 250 | 385 | 540 | 610 | 192 | 4-φ24 |
| 21/2GC-3.5 | 10 | 2272 | 1895 | 1200 | 265 | 385 | 650 | 643 | 683 | 295 | 600 | 250 | 385 | 540 | 610 | 192 | 4-φ24 |
| 21/2GC-3.5 | 11 | 2402 | 2115 | 1280 | 320 | 385 | 710 | 675 | 750 | 295 | 715 | 280 | 410 | 530 | 655 | 131 | 4-φ24 |
| 21/2GC-3.5 | 12 | 2462 | 2115 | 1280 | 320 | 385 | 770 | 675 | 750 | 295 | 715 | 280 | 410 | 530 | 655 | 191 | 4-φ24 |
| 型号 | Number of Stages | A | B | C | E | H | I | J | K | L | M | N | O | P | Q | F | n-φd |
| 21/2GC-6 | 2 | 1227 | 915 | 650 | 135 | 325 | 160 | 480 | 443 | 255 | 490 | 135 | 210 | 430 | 430 | 211 | 4-φ24 |
| 21/2GC-6 | 3 | 1412 | 1160 | 790 | 165 | 325 | 220 | 485 | 490 | 255 | 480 | 165 | 255 | 430 | 430 | 141 | 4-φ24 |
| 21/2GC-6 | 4 | 1412 | 1160 | 790 | 165 | 325 | 280 | 485 | 490 | 255 | 480 | 165 | 255 | 430 | 430 | 201 | 4-φ24 |
| 21/2GC-6 | 5 | 1577 | 1320 | 860 | 185 | 325 | 340 | 485 | 490 | 255 | 480 | 165 | 255 | 430 | 430 | 143 | 4-φ24 |
| 21/2GC-6 | 6 | 1662 | 1380 | 900 | 200 | 325 | 400 | 480 | 510 | 255 | 515 | 180 | 285 | 455 | 455 | 149 | 4-φ24 |
| 21/2GC-6 | 7 | 1827 | 1575 | 1000 | 240 | 325 | 460 | 525 | 580 | 255 | 585 | 200 | 310 | 440 | 525 | 90 | 4-φ24 |
| 21/2GC-6 | 8 | 1887 | 1575 | 1000 | 240 | 325 | 520 | 525 | 580 | 255 | 585 | 200 | 310 | 440 | 525 | 150 | 4-φ24 |
| 21/2GC-6 | 9 | 1947 | 1575 | 1000 | 240 | 325 | 525 | 525 | 580 | 255 | 585 | 200 | 310 | 440 | 525 | 210 | 4-φ24 |
| Model | Number of Stages | A | B | C | E | H | I | J | K | L | M | N | O | P | Q | F | n-φd |
| 4GC-8 | 2 | 1552 | 1230 | 845 | 190 | 385 | 190 | 610 | 575 | 295 | 600 | 180 | 285 | 540 | 480 | 185 | 4-φ24 |
| 4GC-8 | 3 | 1732 | 1385 | 925 | 225 | 385 | 265 | 610 | 600 | 295 | 600 | 200 | 310 | 540 | 540 | 185 | 4-φ24 |
| 4GC-8 | 4 | 1847 | 1485 | 980 | 235 | 385 | 340 | 620 | 640 | 295 | 600 | 225 | 345 | 540 | 540 | 184 | 4-φ24 |
| 4GC-8 | 5 | 2037 | 1735 | 1105 | 265 | 385 | 415 | 645 | 685 | 295 | 665 | 250 | 385 | 540 | 605 | 117.5 | 4-φ24 |
| 4GC-8 | 6 | 2112 | 1735 | 1105 | 265 | 385 | 490 | 645 | 685 | 295 | 665 | 250 | 385 | 540 | 605 | 192.5 | 4-φ24 |
| 4GC-8 | 7 | 2257 | 1955 | 1215 | 300 | 385 | 565 | 675 | 750 | 295 | 720 | 280 | 410 | 540 | 660 | 116.5 | 4-φ24 |
| 4GC-8 | 8 | 2332 | 1955 | 1215 | 300 | 385 | 640 | 675 | 750 | 295 | 720 | 280 | 410 | 540 | 660 | 191.5 | 4-φ24 |
| 4GC-8 | 9 | 2457 | 2080 | 1295 | 325 | 385 | 715 | 675 | 750 | 295 | 720 | 280 | 410 | 540 | 660 | 191.5 | 4-φ24 |
Outline Drawing(2)

Performance Data(2)
| Dimension | Suction Flange | |||
| Model | Dg | Do | D | n–do |
| 11/2GC-5 | 40 | 115 | 145 | 4-φ18 |
| 2GC-5 | 50 | 125 | 160 | 4-φ18 |
| 21/2GC-6 | 65 | 145 | 180 | 8-φ18 |
How to Select a Pump Model
• Calculate the required head and flow rate based on boiler feed system design.
• Determine the appropriate motor power based on system operating conditions.
• Verify installation space and confirm that the horizontal configuration fits.
• Select the appropriate materials for wetted parts based on fluid characteristics.
Engineering Notes
• Ensure the pump operates at or near the rated duty point for optimal performance.
• NPSH must be calculated to prevent cavitation, particularly in high-temperature applications.
• Adequate foundation and support must be provided for proper pump alignment.
• Pipeline alignment should be checked regularly to avoid excessive stress on the pump casing.
Compliance & Quality Assurance
• Factory performance testing including hydraulic, pressure, and vibration tests
• Full-material traceability for critical wetted parts
• Pump performance verification for various duty points
• Optional third-party inspection as per customer requirements
Safety Notice
• Always ensure the pump is properly primed before operation.
• Do not operate the pump without adequate suction pressure.
• Ensure the pump is not subject to dry-running conditions.
• Disconnect power before performing any maintenance or service work.
OEM & Customization
This pump series supports engineered configuration and duty-based matching. Technical adjustments can be made according to system requirements and installation conditions.
Available options include:
• Motor voltage & frequency
• Mechanical seal type and configuration
• Wetted parts material selection
• Surface coating and corrosion protection
Configuration is determined based on duty point and project specifications.
FAQs
Q1: Can the pump operate under VFD control?
Yes, VFD integration is possible for precise flow and pressure regulation.
Q2: What is the maximum allowable working pressure?
The maximum allowable working pressure is ≤ 2.5 MPa.
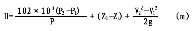
Q3: How do I calculate the NPSH required for the pump?
NPSH can be determined based on the system’s flow rate and total dynamic head; refer to the performance curve.
Q4: Is the pump suitable for wastewater applications?
No, this pump is designed for clean water. Special configurations are required for wastewater.
Q5: How often should the mechanical seals be replaced?
Mechanical seals should be inspected regularly and replaced every 2–3 years, depending on operating conditions.
Q6: What maintenance is required for this pump?
Regular inspection of seals, bearings, and impellers is necessary to ensure efficient operation.